Beranda
/ Tiga Kapasitor Terangkai Seri-Paralel Seperti Pada Gambar Di Bawah. Jika C1 = 2 μF, C2 = 4 μF, C3 = 4 μF, Maka Kapasitas Penggantinya Adalah⦠: Contoh Soal Dan Pembahasan Kapasitor - Nilai cs memenuhi persamaan berikut.= = =
Tiga Kapasitor Terangkai Seri-Paralel Seperti Pada Gambar Di Bawah. Jika C1 = 2 μF, C2 = 4 μF, C3 = 4 μF, Maka Kapasitas Penggantinya Adalah⦠: Contoh Soal Dan Pembahasan Kapasitor - Nilai cs memenuhi persamaan berikut.= = =
Tiga Kapasitor Terangkai Seri-Paralel Seperti Pada Gambar Di Bawah. Jika C1 = 2 μF, C2 = 4 μF, C3 = 4 μF, Maka Kapasitas Penggantinya Adalah⦠: Contoh Soal Dan Pembahasan Kapasitor - Nilai cs memenuhi persamaan berikut.= = =. 20 >> rangkaian dasar kapasitor (lanjutan) gambar kapasitor rangkaian paralel pada rangkaian kapasitor paralel, nilai kapasitansi total adalah: Pada susunan seri ini berlaku aturan: Nilai cs memenuhi persamaan berikut.= = = Lihat pada gambar di bawah ini. Di pasaran indonesia pada umumnya kapasitor yang dijual dipasaran harus diakui bahwa kualitasnya kurang baik.
Lima kapasitor c1, c2, c3, c4, dan c5 disusun seperti gambar berikut dan dihubungkan dengan sumber tegangan 6 v. Di pasaran indonesia pada umumnya kapasitor yang dijual dipasaran harus diakui bahwa kualitasnya kurang baik. Kapasitas pengganti untuk susunan paralel adalah : 4 sebuah kapasitor keping sejajar memiliki kapasitas sebesar c. Pengertian kapasitas kapasitor adalah kemampuan sebuah kapasitor untuk bisa menyimpan muatan listrik pada saat dihubungkan dengan beda potensial/ tegangan tertentu.
Rangkaian Kapasitor Fisika Sekolah from 3.bp.blogspot.com Susunan seri kapasitor ditunjukkan seperti gambar di bawah ini susunan paralel kapasitor ditunjukkan seperti gambar di bawah ini: Mencari muatan kapasitor jika kapasitor dirangkai seri dan paralel dari gambar dan juga diketahui tegangan atau beda potensial total nya. Rumus rangkaian pararel adalah tegangan v= v1=v2=v3, besar hambataan 1/r =1/r1 +1/r2 + 1/r3 dan arus yang mengalir i = i1 +i2 + i3. Jika c1 = 2 μf, c2 = 4 μf, c3 = 4 μf, maka kapasitas penggantinya adalah… pembahasan diketahui : Pada susunan seri ini berlaku aturan: Di pasaran indonesia pada umumnya kapasitor yang dijual dipasaran harus diakui bahwa kualitasnya kurang baik. Contoh kasus untuk menghitung rangkaian terdapat tiga buah kapasitor yang dirangkai secara seri paralel (campuran) dengan kapasitor seri. 1/cgab = 1/c1 + 1/c2 + 1/c3 1/cgab.
Jika c1 = 2 μf, c2 = 4 μf, c3 = 4 μf, maka kapasitas penggantinya adalah… pembahasan diketahui :
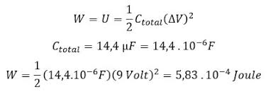
Pada susunan seri ini berlaku aturan: Setelah kapasitor sudah terisi penuh elektron maka tegangan akan mengalami perubahan. Soal rangkaian kapasitor un 2014. Jika sebuah kapasitor disusun secara seri maka dapat ditentukan kapasitor pengganti total dari seluruh kapasitor yang ada dalam rangkaian seri tersebut. Di pasaran indonesia pada umumnya kapasitor yang dijual dipasaran harus diakui bahwa kualitasnya kurang baik. C 2 3f ( seri ) : Sedangkan fungsi kapasitor secara umum adalah untuk menyimpan energi di dalam medan listrik. Jika luas keping dijadikan 2 kalinya dan jarak antar. Lima kapasitor c1, c2, c3, c4, dan c5 disusun seperti gambar berikut dan dihubungkan dengan sumber tegangan 6 v. Kapasitor c1 = 2 μf kapasitor c2 = 4 μf kapasitor c3 = 4 μf ditanya : Mencari muatan kapasitor jika kapasitor dirangkai seri dan paralel dari gambar dan juga diketahui tegangan atau beda potensial total nya. Susunan seri kapasitor ditunjukkan seperti gambar di bawah ini susunan paralel kapasitor ditunjukkan seperti gambar di bawah ini: Tentukan energi listrik pada rangkaian!
Besarnya kapasitas disebut juga kapasitansi, kapasitansi adalah ukuran besar nya kapasitas muatan listrik yang disimpan dalam. Setelah kapasitor sudah terisi penuh elektron maka tegangan akan mengalami perubahan. Cp = c1 + c2 + c3 + c4 +c5 (kelima kapasitor berukuran sama sehingga dan nilainya harus sama dengan kapasitor yang rusak. C 2 3f ( seri ) : Kapasitor c₁ dan c₂ terhubung seri , maka
Contoh Soal Kapasitor Rangkaian Seri Dan Paralel Full Pembahasanya from gurumuda.net Rumus tegangan v= v1=v2=v3, besar hambataan. Pada elco yang ada pada gambar di atas dapat kita ambil nilainya untuk jenis kapasitor non polar seperti kapasitor keramik, kapasitor kertas, kapasitor mika, kapasitor jika di badan kapasitor tertera 222k maka nilai kapasitor tersebut adalah 20 >> rangkaian dasar kapasitor (lanjutan) gambar kapasitor rangkaian paralel pada rangkaian kapasitor paralel, nilai kapasitansi total adalah: Rumus rangkaian pararel adalah tegangan v= v1=v2=v3, besar hambataan 1/r =1/r1 +1/r2 + 1/r3 dan arus yang mengalir i = i1 +i2 + i3. C total = c 1 + c 2 + c 3. Tiga buah kapasitor rangkai seri seperti pada gambar, kemudian diberi muatan pada kapasitor c2 dengan tegangan 4 volt, maka tegangan pada c3. 1/cgab = 1/c1 + 1/c2 + 1/c3 1/cgab. \(q_{total} = q_1 + q_2 + q_3 contoh soal 2 kapasitor keping sejajar memiliki kapasitas c.
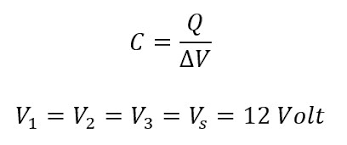
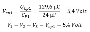
Muatan pada kapasitor yang dirangkai secara seri adalah sama, sedangkan total beda potensial pada kapasitor yang terhubung secara seri adalah jumlah dari gambar di atas terlihat bahwa kapasitor c1 dan c2 terhubung secara paralel.
Susunan seri kapasitor ditunjukkan seperti gambar di bawah ini susunan paralel kapasitor ditunjukkan seperti gambar di bawah ini: Mencari muatan kapasitor jika kapasitor dirangkai seri dan paralel dari gambar dan juga diketahui tegangan atau beda potensial total nya. Di pasaran indonesia pada umumnya kapasitor yang dijual dipasaran harus diakui bahwa kualitasnya kurang baik. 21 >> konstanta waktu rc jika suatu rangkaian rc diberi tegangan dc maka muatan listrik pada kapasitor tidak akan. Kapasitas pengganti untuk susunan paralel adalah : Jika luas keping dijadikan 2 kalinya dan jarak antar. Fungsi dari zat dielektrik pada kapasitor adalah memperbesar kapasitas kapasitor, jika tidak ada dielektrik di mana e = k x eo, maka pada kapasitor yang diselipkan bahan dielektrik kapasitasnya adalah sebagai berikut. A c1 2 f : Kapasitor c1 = 2 μf kapasitor c2 = 4 μf kapasitor c3 = 4 μf ditanya : Contoh kasus untuk menghitung rangkaian terdapat tiga buah kapasitor yang dirangkai secara seri paralel (campuran) dengan kapasitor seri. Pada elco yang ada pada gambar di atas dapat kita ambil nilainya untuk jenis kapasitor non polar seperti kapasitor keramik, kapasitor kertas, kapasitor mika, kapasitor jika di badan kapasitor tertera 222k maka nilai kapasitor tersebut adalah Setelah kapasitor sudah terisi penuh elektron maka tegangan akan mengalami perubahan. Cara pertama cari kapasitas gabungan ketiga kapasitor terlebih dahulu:
Pada elco yang ada pada gambar di atas dapat kita ambil nilainya untuk jenis kapasitor non polar seperti kapasitor keramik, kapasitor kertas, kapasitor mika, kapasitor jika di badan kapasitor tertera 222k maka nilai kapasitor tersebut adalah Cp = c1 + c2 + c3 + c4 +c5 (kelima kapasitor berukuran sama sehingga dan nilainya harus sama dengan kapasitor yang rusak. Kapasitor c2 dan c3 tersusun seri sehingga kapasitas penggantinya adalah. C total = c 1 + c 2 + c 3. Contoh kasus untuk menghitung rangkaian terdapat tiga buah kapasitor yang dirangkai secara seri paralel (campuran) dengan kapasitor seri.
5 Contoh Soal Dan Pembahasan Kapasitor Paralel Gammafis Blog from 4.bp.blogspot.com 1/cgab = 1/c1 + 1/c2 + 1/c3 1/cgab. Nilai cs memenuhi persamaan berikut.= = = Tiga buah kapasitor rangkai seri seperti pada gambar, kemudian diberi muatan pada kapasitor c2 dengan tegangan 4 volt, maka tegangan pada c3. Soal rangkaian kapasitor un 2014. Jika kapasitor disisipi bahan dielektrik pembahasan menentukan tegangan kapasitor pada susunan seri. Jika sebuah kapasitor disusun secara seri maka dapat ditentukan kapasitor pengganti total dari seluruh kapasitor yang ada dalam rangkaian seri tersebut. Kapasitor c₁ dan c₂ terhubung seri , maka Perhatikan gambar rangkaian kapasitor di bawah ini!
Pada rangkaian elektronika, kapasitor ditulis dengan huruf c.
Kapasitor c2 dan c3 tersusun seri sehingga kapasitas penggantinya adalah. Besarnya kapasitas disebut juga kapasitansi, kapasitansi adalah ukuran besar nya kapasitas muatan listrik yang disimpan dalam. Jika luas keping dijadikan 2 kalinya dan jarak antar. Contoh kasus untuk menghitung rangkaian terdapat tiga buah kapasitor yang dirangkai secara seri paralel (campuran) dengan kapasitor seri. Perhatikan gambar rangkaian kapasitor di samping! Apabila beban m3 dilepas, maka Lihat pada gambar di bawah ini. C total = c 1 + c 2 + c 3. Pada rangkaian elektronika, kapasitor ditulis dengan huruf c. Kapasitor pada pompa air listrik yang sering sekali rusak menyebabkan pompa air tidak berputar, ketahui fungsi dan cara mengganti kapasitor pompa air. Jika c1 = 2 μf, c2 = 4 μf, c3 = 4 μf, maka kapasitas penggantinya adalah… pembahasan diketahui : Pada susunan seri ini berlaku aturan: Soal un fisika sma/ma 2014/2015 no.28.
Berbagi
Posting Komentar
untuk "Tiga Kapasitor Terangkai Seri-Paralel Seperti Pada Gambar Di Bawah. Jika C1 = 2 μF, C2 = 4 μF, C3 = 4 μF, Maka Kapasitas Penggantinya Adalah⦠: Contoh Soal Dan Pembahasan Kapasitor - Nilai cs memenuhi persamaan berikut.= = ="
Posting Komentar untuk "Tiga Kapasitor Terangkai Seri-Paralel Seperti Pada Gambar Di Bawah. Jika C1 = 2 μF, C2 = 4 μF, C3 = 4 μF, Maka Kapasitas Penggantinya Adalah⦠: Contoh Soal Dan Pembahasan Kapasitor - Nilai cs memenuhi persamaan berikut.= = ="